2017/-18 Nolu Genelge ile Yürürlükten Kaldırılmıştır
İstanbul.04.06.2014
Sayı :
2014/154
Sayın Meslektaşımız,
T.C.Başbakanlık Hazine Müsteşarlığı’nın 21.05.2014 tarihli ve 6 sayılı (2014/6) "(2007/27) Sayılı Yalnız Maddi Hasarla Sonuçlanan Trafik Kazalarında Taraflarca Doldurulacak Kaza Tespit Tutanaklarına İlişkin Genelgede ve Eki Tutanakta Değişiklik Yapılmasına Dair Genelge” ekte bilgilerinize sunulmuştur.
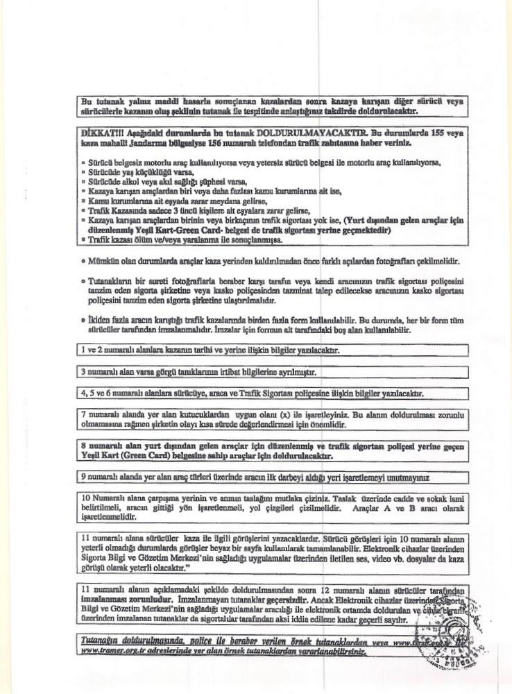
Genelge ile Kaza Tespit Tutanağı revize edilmiş olup, söz konusu revizyon kapsamında, Kaza Tespit Tutanağının 4-Sürücü Bilgileri ile 6-Trafik Sigortası Poliçe Bilgileri başlıkları altında hem sürücünün hem de sigortalının cep telefon no ve e-posta bilgilerinin ayrı ayrı girilmesi için gerekli alan açılmıştır.
Diğer taraftan elektronik ortamda doldurulan Kaza Tespit Tutanaklarının geçerliliğini teminen 2007/7 Sayılı Genelgenin ilgili maddelerinde de değişiklikler yapılmıştır.
Saygılarımızla.
Sigorta
Eksperleri Derneği
Yönetim Kurulu
Genelge için TIKLAYINIZ.
Revize Kaza Tespit Tutanağı için TIKLAYINIZ.
Kaza Tespit Tutanağı Açıklamalar için TIKLAYINIZ.
- (2023/24) Sigortacılık Verilerinin Genel Veri Tabanına Kayıtlanmasına İlişkin Genelge
- (2022/12) Değer Kaybı Taleplerinde Ekspertiz İşlemlerine İlişkin Genelge
- (2021/20)Karayolları Motorlu Araçlar Zorunlu Mali Sorumluluk Sigortası Kapsamında Değer Kaybı Taleplerinde Sigorta Eksperi Atanmasına İlişkin Genelge
- (2021/11) 5684 Sayılı Sigortacılık Kanunu Ek 6 ncı Maddesinin Uygulanmasına İlişkin Genelgede (2021/1) Değişiklik Yapılmasına İlişkin Genelge
- (2021/1) 5684 Sayılı Sigortacılık Kanunu Ek 6 ncı Maddesinin Uygulanmasına İlişkin Genelge "
- (2019/10) Karayolları Motorlu Araçlar Zorunlu Mali Sorumluluk Sigortasında Paket Poliçe ve Ek Teminat Uygulaması Hk. Genelge
- (2019/09) Karayolları Motorlu Araçlar Zorunlu Mali Sorumluluk Sigortasının Uygulanmasına İlişkin Genelge
- 2020/3 Motorlu Araç Sigortaları Kapsamında Tam ya da Ağır Hasara Uğramış Araçlarla İlgili Mevzuata Aykırı Uygulamaların Önlenmesi Hakkında Genelge
- 13.1.2015 tarihli ve 2015/2 sayılı Motorlu Araç Sigortalarında EşdeğerParça Belgeleme Esaslarına İlişkin Genelgede Değişiklik Yapılmasına Dair Genelge
- 2018 Motorlu Araç Sigortalarında Uygulanacak Ekspertiz Ücret Tarifesi


